Cultivating Insights: Harnessing the Power of Data Visualization in Agriculture

Susan Vanderplas

2024-01-09

Why Data Visualization?

Why Data Visualization?

  • Data is easier to understand visually

  • Build trust in models and results

  • Identify patterns, trends, outliers

Exploratory Data Analysis

Exploratory Data Analysis

  • Identify issues with data quality/import (“gut check”)

  • Look at raw data

  • Develop initial hypotheses and questions

Exploratory Data Analysis

During Design:

Exploratory Data Analysis

After Application:

Exploratory Data Analysis

After Application:

Exploratory Data Analysis

After Harvest:

Understand Results

Understand Results

  • Visuals help us understand what a model is doing

  • Useful for identifying areas where models may be less accurate

  • Look at raw data vs. model results

Understand Results

Parametric Coefficients
effect Estimate Std. Error t value Pr(>|t|)
(Intercept) 39.5926 0.2215 178.7559 0.0000
Approximate Significance of Smooth Terms
effect edf Ref.df F p-value
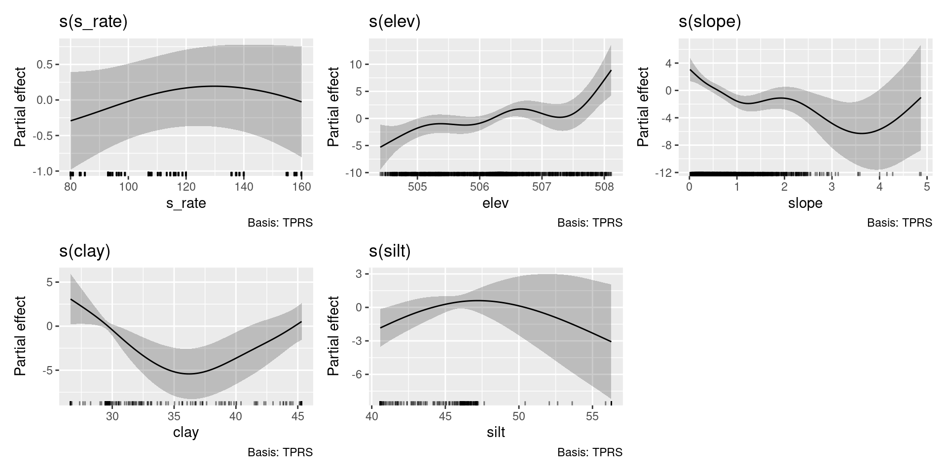
s(s_rate) 0.9772 9.0000 0.1442 0.2558
s(elev) 6.0431 9.0000 3.2842 0.0000
s(slope) 4.7708 9.0000 2.8008 0.0000
s(clay) 2.4558 9.0000 1.8240 0.0001
s(silt) 1.4403 9.0000 0.7279 0.0061
te(x_coord,y_coord) 20.3908 24.0000 14.1260 0.0000

Understand Model Results

Understand Model Results

Make Decisions

Make Decisions

Make Decisions

Parametric Coefficients
effect Estimate Std. Error t value Pr(>|t|)
(Intercept) 246.0769 1.8919 130.0671 0.0000
munameDrummer silty clay loam 21.3936 13.0254 1.6424 0.1011
munameElpaso silty clay loam 6.8863 6.3001 1.0930 0.2749
munameHoughton muck −1.8043 12.5800 −0.1434 0.8860
munameLisbon silt loam −16.0409 9.4682 −1.6942 0.0909
munameOctagon silt loam −2.2365 2.9266 −0.7642 0.4451
Approximate Significance of Smooth Terms
effect edf Ref.df F p-value
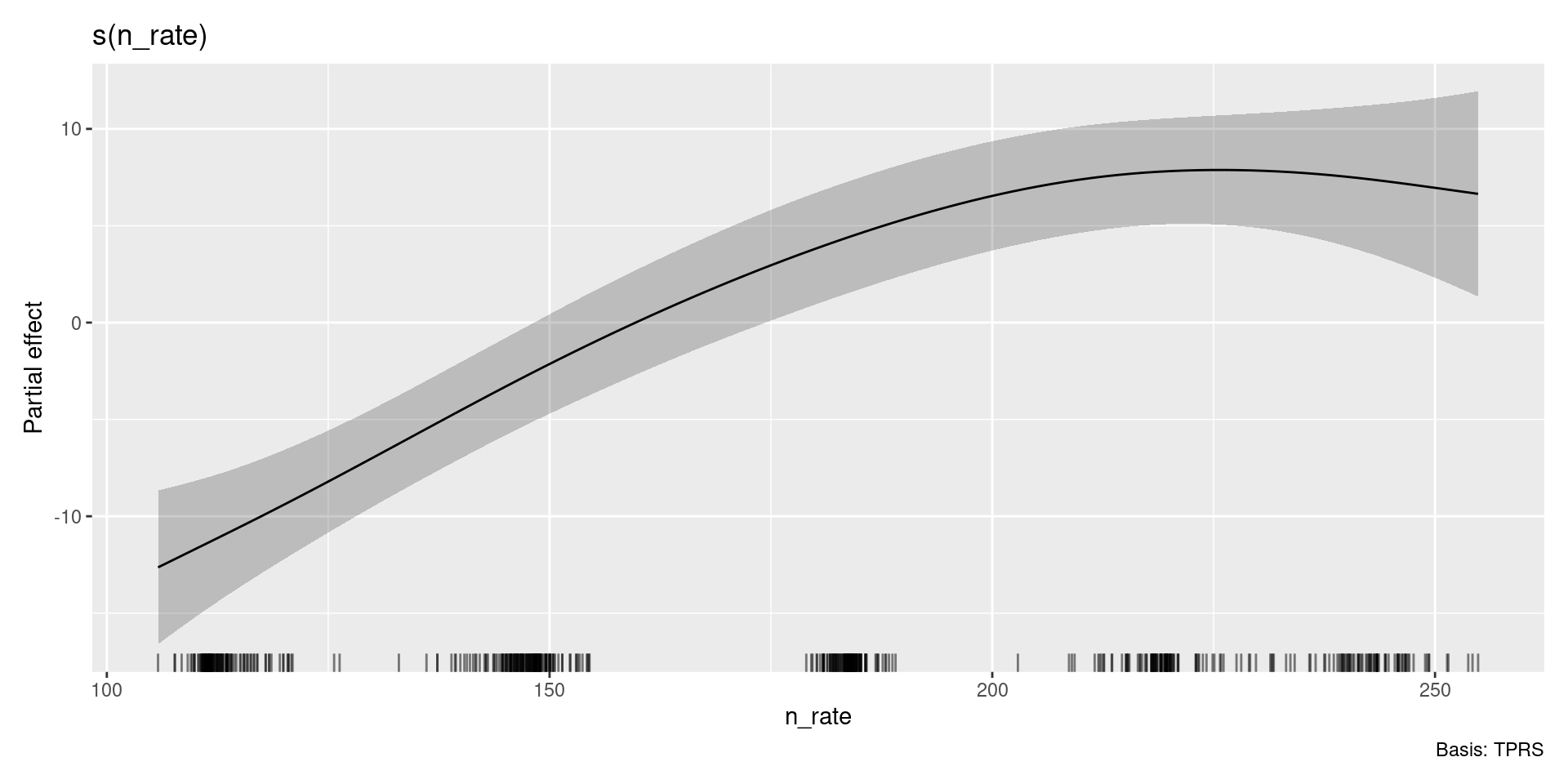
s(n_rate) 2.0872 9.0000 7.9926 0.0000
s(elev) 8.0000 9.0000 3.6272 0.0000
s(slope) 1.9356 9.0000 1.9140 0.0000
s(elev,slope) 16.5476 27.0000 1.7851 0.0000
te(x_coord,y_coord) 22.3023 24.0000 5.7360 0.0000

Make Decisions

Make Decisions

Make Decisions

Make Decisions

Make Decisions

Make Decisions

Why Data Visualization?

  • Data is easier to understand visually

  • Build trust in models and results

  • Identify patterns, trends, outliers

Questions?